あなたのサイトはシニアフレンドリー?
インターネット利用者において、シニア層が占める割合が増大するにつれ、「シニアが使いやすいサイト」=「シニアフレンドリーなサイト」の重要性が増しています。ところで「シニアフレンドリーなサイト」と聞いて、あなたはどんなサイトを思い浮かべますか?
- 文字が大きい
- ボタンが大きい
- 和風のデザイン
- にこやかに笑う高齢者の写真
- など
一見正解に思えるこうしたポイント、実はシニアにとって“逆効果”になる可能性があるのをご存知ですか?
「えっ!」と思った人は、次に示す本当に大切な「シニアフレンドリーチェックリスト」を使って、自社サイトやクライアントのサイトがどこまでシニア対応できているか、まず確認してみてください。
メニュー項目に、アルファベット表記のものはないか?
ファーストビュー内に、「会社概要」への導線があるか?
ヘッダー内に、「サイト内検索」「サイトマップ」への導線があるか?
動きのあるメニューやローテーションバナーを用いていないか?
サイト内検索に、「検索サジェスト機能」を導入しているか?
訪問済みリンクは、色がはっきりと変わるか?
会員登録をしなくても、購入や申し込みができるか?
入力フォームで、全角と半角のどちらで入力しても、適切に処理されるか?
入力例や注意書きが、フォーム項目の上下すぐ近くに書かれているか?
誤入力を、リアルタイムにチェックして指摘する仕組みがあるか?
チェックの結果はいかがでしょうか? ここまで配慮がされていて、初めて「(最低限)シニアフレンドリーなサイト」だと言えます。これらが配慮されていない場合、そのサイトは、シニア層の見込み顧客を逃しているかもしれません。
シニアは「65歳以上」、50代も視野に
総務省の調べによると、2014年10月時点の日本人人口のうち、65歳以上が占める割合は26.2%、50歳以上は45.5%です。およそ4人に1人が高齢者、2人に1人が中高年者なのです。

この層をフォローできるかどうかが、あらゆるビジネスに大きな影響を与えるようになってきました。当然、サイト改善の「次の一手」としても注目が集まってきています。
さて、どのようにサイトのシニア対策を進めていくべきかを考えていく前に、まず「シニアの定義」を明確にしておきましょう。
WHO(世界保健機構)では、次のように定義しています。
- 55歳以上=「高年齢者」
- 65歳以上=「前期高齢者」
- 75歳以上=「後期高齢者」
しかし、「シニア」という言葉には明確な定義はなく、商材やサービスによりイメージが異なるのが実情です。
この連載では、便宜上、日本の人口構成や消費面で大きな存在感を持つ65歳前後の「団塊世代層」を「シニア」のメインターゲットとして扱います。しかし、老いのスピードやITに関する知識経験は年齢が上がるほどバラつきが大きくなるため、サブターゲットとして50代の中高年層も合わせて考慮していきます。
存在感を増すシニア層ネットユーザー
前述したように、すでに日本人のおよそ4人に1人が高齢者、2人に1人が中高年者という状況です。シニア層自体が増加するにつれ、シニアによるインターネットの利用も一般的になっています。
2014年の通信利用動向調査によると、男女間で多少の差はあるものの、50代で9割以上、60代でおよそ7割程度まで、ネットの利用率が伸びています。

男性の利用率のほうが少し高いのは、勤めていた会社でパソコンやインターネットに親しんだ人が多いからでしょう。またパソコン教室での現状をみると、女性は何か困ったことがあれば、ネットではなく娘や息子に聞いているということが背景にありそうです。
シニアの消費はアナログからデジタルへ
シニア層は、ネット利用が増加するだけでなく、消費パワーも増大しています。2012年の経済産業省の調べによると、ここ10年で継続的に消費が伸びているのは、高齢者世帯(世帯主が65歳以上)のみでした。

シニア層の存在感が増すにつれ、多くの企業が、この「伸び盛り」の市場を狙い、あの手この手を打ってきているのは周知のとおりです。逆に言えば、この層をケアできなければ売り上げも頭打ちになってしまうことは想像にたやすいと思います。
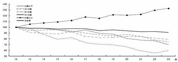
そしてこの消費力のチャンネルは、少しずつアナログからデジタルへと移行しています。バルクによる2015年のネットアンケート調査によると、ネットショッピングの年間平均利用額の性年代別トップは、なんと60代女性でその額22万6,000円。これは最下位だった20代女性のおよそ4倍弱にもなります。

この60代女性と20代女性の差を詳しく分解してみると、利用回数はおよそ1.5倍、平均単価はおよそ2.5倍と、ともに高い値を示していました。これは男性でも同様の傾向です。
また次のグラフは、私たちが実施したオンラインショップの再利用意向に関するアンケート調査の結果です。これを見ると、男女とも60代の方がリピート購入傾向が高く、同時に安売り狙いの「バーゲンハンター」も少ない様子がわかります。

[調査概要]調査方法:ネットアンケート、調査時期:2015年8月、調査対象:30代と60代の男女、有効回答数:200人(30代男性54人、30代女性46人、60代男性74人、60代女性26人)
これらのことから、一度ネットショッピングの味をしめたシニア顧客は、その便利さから積極的にネットで購買する傾向が高く、また高額商品も臆せず購入する「優良顧客」になりやすいと言えます。リスティング広告などで同じ100人を集客するのであれば、当然こうした「優良顧客」を積極的に狙い、さらに来た人を取りこぼさないための工夫も重要です。
実際に、弊社のパソコンスクールを受講する高齢の方などからは、次のような声がよく挙がっています。
テレビや新聞のニュースで話題になった商品(ワケアリ商品、お取り寄せなど)をインターネットで今すぐ注文したい。
旅行や観劇チケットなどはインターネットで予約すれば安くなる」「今後ネットショッピングを積極的に活用したい。
シニアがショッピングを途中であきらめてしまう理由とは?
一方で、「ネットショッピングは難しい」さらには「ネットは難しい」という声も、高齢の方からは少なくありません。私たちが2013年に行った、ネットショッピングに関する自主アンケート調査の結果をここで紹介します。
「ネットショッピングをしていて途中であきらめたことがあるか?」と聞いたところ、6割が「ある」と回答しています。
その理由として、以下の9個の選択肢から選んでもらいましたが、どれが一番多かったでしょうか? みなさんも少し考えてみてください。
- 探している商品が見つからなかった
- 注文方法がわからなかった
- 書かれている文字が読みにくかった
- 商品の情報が十分に得られなかった
- 会員登録するのが嫌だった
- 名前や送り先などの入力で失敗したり面倒になった
- 希望する支払い方法がなかった
- インターネットで買い物をするのは不安があった
- 十分な時間がなかった
アンケート結果は、次のとおりでした。

[調査概要]調査方法:ネットアンケート、調査時期:2013年8月、調査対象:60歳以上の男女、有効回答数:100人(男性77人、女性23人)
ご覧のように、シニアがネットショッピングを途中であきらめてしまった理由のトップ3は、「商品が見つからない」「商品の情報不足」「会員登録への抵抗感」でした。
サイトの改善には、シニア層の行動特性をよく理解したうえで、どこがボトルネックにあたるのか正確に把握し、全体最適を意識する必要があります。予想が外れていた人は、いま一度、先入観を取り払って、「シニア対策」を考えてみてください。
ちなみにサイトのシニア対応のご相談をいただく際、「シニアにも使いやすいフォームにしたいんです!」と意気込んで来られる担当者様もいらっしゃいますが、こちらのアンケートによるとフォーム関連のクレームはわずか4.3%。実はその前段階で多くのシニアが購入をあきらめてしまっているのが実情です。
シニア対応した場合の、具体的な効果
サイトのシニア対応(SFO)を行うと、具体的にどういった効果が見込めるのでしょうか?
ある宿泊予約サイトでは、シニアを対象としたユーザーテストから得られた知見をもとにいくつかの改善施策を実施。それぞれA/Bテストで効果検証を行いました。
その結果、以下のようにクリック率が変化しました。
商品タイトルの字間や行間を、広げて読みやすくする
⇒ CTRが3~8%改善伝わりにくいカタカナ用語に、補足文言を足す
⇒ CTRが15%改善絞り込み検索項目を、わかりやすいもの順に並び替え
⇒ CTRが20%改善
どれも細かい部分ですが、わかりにくい用語からの変更、検索・ナビゲーション周りの改善が、クリック率に対して効果を発揮したようです。
とあるエンターテインメント企業では、施設内に設置してあるチケット発券機の画面デザインをリニューアルする際、シニアを対象としたユーザーテストを実施しました。
それまでは、チケット発券機の使い方に関するシニア世代のお客様からの質問が、全国で1日10件以上、スタッフに寄せられていたそうです。
ユーザーテストからの知見を織り込んだ画面に変更したところ、そうした質問は「ゼロ」になったそうです。
「SFO」が必要な理由
シニアのお客様が増えてきたときに出てくる大きな問題の1つが、サポートに関するコストの増大です。ITに慣れた若い人であればスイスイ使えるサイトでも、シニアにとっては想像以上にハードルが高いもの。結果的に問い合わせ電話も増えますし、一人ひとりに対応する時間も比較的長くなります。
しかしシニアフレンドリー施策をていねいに行うことで、こうしたサポートのコストを劇的に下げる効果も期待できるというわけです。
整理すると、「シニア対応(SFO)がなぜ必要か」と言うと、次のような理由があるからなのです。
- シニア層ユーザーは、すでに少数と言えなくなってきているし、今後増える一方である
- シニア層ユーザーは、サービスの乗り換えをしにくい「良いお客さん」である(忠誠心の高いリピーターが多い)
- サポートに関わるコストを、明確に節約できる
- シニア層ユーザーは、LTVが高い
Q&A 教えて!佐藤さん(シニアフレンドリーよくある質問)
Qうちはシニア商材じゃないから関係ないのでは?

……と思いますよね?
ある男性の例ですが、その人は、自宅のパソコンで遊ぶ「フライトシミュレータ」が趣味だそうで、秋葉原で本格的な機材を買い込んでいました。これなどは、シニア商材でなくてもシニア層が購入している好例だと思います。このように、「シニア商材か、そうでないか」という区切りは、もう不毛なんじゃないでしょうか。
若い人でもゴルフに出かけるし、シニアでも高度なゲームを遊ぶ。このあたりは年齢で明確に分けられるものではなく、本当に個人個人の興味関心によるとしか言いようがありません。
年代による偏りは、結果的にあるかもしれませんが、「ある商材を欲しいと思うお客さんに、売らない理由」はまったくありません。若い人のネット利用率は、すでに100%近くで飽和しています。さらに人口減少社会に突入していますから、シニア商材でなくても適切な対応を行わないと、売り上げもジリジリ下がってしまうのではないでしょうか。
Q10年後には、みんなそこそこ使えるようになってるんじゃないの?

たしかに10年経ったら、少し状況は変わっているかもしれません。
実は、こういった質問は2000年ごろから同じように議論されていました。
で、10数年たった今の状況はといえば……むしろSFOの需要が高まっているのではないでしょうか? 使える人が増えることで、さらにケアが必要になる。個人的には、そんな一見矛盾しているような状況が目の前にあると感じています。
それに、今問題なく使えている人も、老化にともなう心身の機能低下により、10年後に同じように使えるかどうかは怪しいところです。SFOの肝は、こうした変化をあらかじめ把握しておき、それにさりげなく対応することだとも言えます。
Qシニアフレンドリーにしたら、若い人が敬遠するのではないでしょうか?

端的に言うと、95%「No」だと思います。
次回以降、具体的な施策を紹介していきますが、これらの施策は「シニア層に最適化する」というよりは、「シニア層もカバーする」というスタンスに近いものばかりです。それを行ったからといって、サイトの雰囲気がジジくさくなって若い人から敬遠されてしまうという内容ではまったくありません。
シニアが使うサイトと言うと、とかく「文字が大きい」「ボタンが大きい」「淡い・地味な色遣い」「情報が少なく物足りない」というようなイメージを持ちがちです。ですが、うまくSFOを行い、シニア対応しているサイトのなかには、若い人が目にしてもほとんど違和感を持たないものもたくさんあります。
またシニア層のなかには、「あからさまに高齢者扱いされるのは好まない(ただし「シニア割」だけは許しますが!)」いった感じの人が多くいます。そのため「通常と同じデザインで、しかも誰でもストレスなく使える」サイトを目指すべきなのです。
Q少数のシニアのために改修のコストをかけるべきでしょうか?

本編でも説明したように、サイトのシニア対応は、コストをかけてでも行うべき状況に少しずつなってきています。
そして間接的な効果として、「シニアも使える」を目標にすることで、それ以外の多くのユーザーにもよい影響を与えることが期待できます。
たとえばみなさんの周りで、「スマホは得意だが、パソコンはほとんど使わない若い女性」に心当たりはありませんか? こうしたユーザーは、インターネットの概念はある程度知っているものの、マウスやキーボードの扱いに慣れていなかったり、情報量が多いパソコン向けサイトに戸惑っていたりするのです。こうしたユーザーにも、SFOが効果を上げることでしょう。


